International Journal of Pharmacology
2005 | 9,241,751 words
The International Journal of Pharmacology (IJP) is a globally peer-reviewed open access journal covering the full spectrum of drug and medicine interactions with biological systems, including chemical, physiological, and behavioral effects across areas such as cardiovascular, neuro-, immuno-, and cellular pharmacology. It features research on drug ...
Endocrine Function and Duration Time of Estrous Cyclicity of the...
Hemadi Masoud
Physiology Research Center, Ahvaz Jundishapur University of Medical Sciences, Ahvaz, Iran
Saki Ghasem
Physiology Research Center, Ahvaz Jundishapur University of Medical Sciences, Ahvaz, Iran
Year: 2010 | Doi: 10.3923/ijp.2010.379.385
Copyright (license): Creative Commons Attribution 4.0 International (CC BY 4.0) license.
[Full title: Endocrine Function and Duration Time of Estrous Cyclicity of the Ovariectomized Recipiented Neonate Vitrified Ovarian Grafts Mice after Treatment with Melatonin]
INTRODUCTION
The quality of vitrified ovarian grafts is not satisfactory and this is likely due to damage caused by disappearance of regular sexual cyclicity (Wang et al., 2002). It would be useful if there is a substance that has positive effects on the deficient GnRH drive of host. Melatonin is a pineal hormone with well-known actions on the neuroendocrine reproductive axis and circadian system as well as being an antioxidant (Lopez et al., 2005; Tan et al., 2003). The administration of melatonin to menopausal female rats induced an increase in the concentration of the mRNA encoding GnRH and completely reversed the effect of menopausal (Diaz et al., 2000). In young female rats, exogenous melatonin did not influence the responsiveness of the pituitary to GnRH, unlike the response of old acyclic rats, which exhibited LH concentrations that were restored to the levels exhibited by young animals (Diaz et al., 2000; Saalu et al., 2006). Exogenous melatonin is used widely to improve the reproductive performance during anestrus (Forcada et al., 2007; Cagnacci et al., 1995; Cagnacci et al., 1991; Wallace et al., 1988; Bellipanni et al., 2005). In addition, the production of luteal progesterone in sheep and ewe appear to be stimulated by melatonin, both in vivo and in vitro (Abecia et al., 2002; Forcada et al., 1995).
Melatonin exerts its effect by reducing the elevated gonadothropins and also regulates the disturbance of endocrine estrous cycle function observed in menopause female into the physiological conditions of mature females (Bellipanni et al., 2005). Therefore, it could be useful to ovariectomized females that have signs of menopause. Thus, melatonin could play a role in the regulation of activity of the hypothalamic-pituitary-ovarian axis in ovary graft recipients. In addition, melatonin receptors have been found in granulosa and theca cells of ovarian follicles (Lee et al., 2001; Soares et al., 2003). The high lipophilicity of melatonin permits its rapid transfer into other organs and fluids. Indeed, presence in the ovarian follicular fluid even exceeds blood levels (Brzezinski et al., 1987; Ronnberg et al., 1990). The existence of melatonin receptor in cells of ovary, its high lipophilicity and also its effect of synchronizing endocrine function of the female reproductive system makes us to suppose that melatonin may have protective effect on frozen-thawed ovaries graft. Earlier reports showed direct effects of different melatonin concentrations on folliculogenesis and oogenesis of in vitro cultured mouse ovarian follicles (Adriaens et al., 2006). Melatonin also protects the ovaries against oxidative damage associated with reperfusion following an ischemic insult (Hemadi et al., 2009; Liu et al., 2008; Turkoz et al., 2004; Kim et al., 2004). But, there has been no report on the protective effect of melatonin on the activity of the hypothalamic-pituitary-ovarian axis in ovary graft recipients yet. Therefore, we evaluated the effect of the optimum dose of melatonin (from our dose-finding study, unpublished data) on the functional activity of the hypothalamus-pituitary-gonadal axis in the recipients of vitrified ovary grafts.
MATERIALS AND METHODS
Mice: This study was conducted from August 2009 to January 2010 and accordance with Ahvaz jundishapur University of Medical Sciences Guide for the Care and Use of Laboratory Animals. Ten day old female (CBAxC57Bl/6) F1 hybrid mice were used as ovarian donors and 8-10 weeks-old females of the same strain were used as ovarian recipients (Pasture Institute of Iran). Recipient mice were randomly assigned either as control (group I) or treated (group II). Group I obtained physiological saline and Group II received melatonin (20 mg/kg/day). Each of the groups was randomly further distributed into six subgroups. In each subgroup sacrificed at days 1-2 (n = 6), 3 (n = 3), 7-9 (n = 9), 10-12 (n = 9) or 32 (n = 3). As sham, for each subgroup, same number mice were sham operated: After anaesthesia, ovaries were visualized and replaced. These sham mice did not receive any graft.
Ovaries vitrification: Intact ovaries of 10 day old mice were recovered and vitrified as previously published (Mazoochi et al., 2008) with the following modifications: medium containing 40% ethylene glycol (v/v), 30% ficoll 70 (w/v) and 1 M sucrose supplemented with fetal bovine serum (EFS40) (Sigma-Aldrich, USA). Whole ovaries were exposed to increasing concentrations of Vitrification Solution (VS) (12.5, 25, 50 and 100%). The first two steps lasted 5 min at room temperature and the next two for 15 min at 4°C. Each of the ovaries was then transferred into 1.8 mL cryogenic vials (Nunc, Roskilde, Denmark) containing 100% (EFS40). The vials were transferred directly into liquid nitrogen at -196°C. Before grafting, ovaries were rapidly warmed in air at room temperature for 30 sec and then immersed in water at 30-35°C for 5 min. The ovaries were removed from the cryovials and placed successively in solutions containing decreasing VS concentration (50, 25 and 12.5%) and finally washed in αMEM.
Melatonin treatment in vitro: The thawed ovaries were further incubated 30 min in αMEM plus 10% FBS, with or without 100 μM additive melatonin before being transplanted subcutaneously on the back of ovariectomized recipients of treatment (group II) or no treatment (group I), respectively.
Transplantation procedure: The host animals were anesthetized by i.p., injection of ketamine-xylazine cocktail (ketamine 80 mg kg-1 and xylazine 10 mg kg-1 b.wt., Pharmacia and Upjohn, Erlangen, Germany). While, the incisional area on the back was prepared and protected (kept sterile) for the transplantation procedure, Ovariectomy was performed by excision between the uterine horn and the fallopian. The intact vitrified thawed ovaries were subsequently inserted bilaterally into the subcutaneous-site (into adipose tissue; bilaterally adjacent to the midline) on the back of recipient mice. Sham animals were subjected to surgery without implantation of tissue.
Melatonin treatment in vivo: After transplanting, melatonin 20 mg/kg/day was applied by intraperitoneal (i.p.) injections in 0.2 mL of 0.9% saline to the host mice (group I) once a day at 18:00 h (1 h before initiation of 12 h dark phase) up to 48 h. Group II received only saline. Treatment was started 1-4 h after transplantation.
Validation of ovaries graft: Vaginal smears were taken daily using sterile pipettes, beginning 5 days after transplantation; the vaginal wall of each recipient was scraped gently and the cells were mixed with a drop of PBS on a clean glass slide. The stage of the estrous cycle was determined from the cell types observed with an inverted microscope with Hoffman contrast modulation.
Serum sample collection and tissue preparation: Blood samples were obtained by cardiac puncture. Heparinized plasma was separated using centrifugation (3000 rpm) and stored at -80°C to carry out the hormonal assays. The grafted intact ovaries were carefully dissected out, cleaned of adhering connective tissue and then fixed by 4% buffered formaldehyde (37% Formaldehyde, Merck, Germany).
Hormone assays: Plasma Follicle-Stimulating Hormone (FSH), Luteinizing Hormone (LH), estradiol and progesterone secretions were measured by ELISA using ELISA reader (Awareness Comp., USA). The LH and FSH concentrations were measured as described in the instructions provided with the kits (Radim S.P.A., Italy), whereas estrogen and progesterone levels were determined as illustrated in the tuition offered by kits (DRG Diagnostics GmbH, Germany).
Melatonin serum levels: Melatonin in mice serum was detected using a commercially available RIA (Buehlmann, Allschwil, Switzerland). Briefly, melatonin was extracted from 100 μL serum aliquots by reverse phase chromatography in 1 mL 100% methanol, vacuum-dried and reconstituted in 1 mL reagent buffer. Appropriately diluted extracts were incubated with melatonin-specific antibody and radiolabeled melatonin over night at 4°C. Following incubation with a sepharose-coupled secondary anti-rabbit antibody for 15 min at 4°C, specific radioactivity was measured using a gamma counter (Beckman Instrument Inc., USA). Samples were measured in duplicates and melatonin concentration calculated from a standard curve obtained separately for each test run.
Statistical analysis: Two-way variance analysis was used to compare the mean time of estrous cyclisity of all mice of groups. The correlation coefficients were calculated to estimate the effect of gonadothropins and steroids levels on melatonin concentration. Results are expressed as Mean±SE. The p<0.05 was considered significant.
RESULTS
Vaginal cytology: Cornified epithelial cells vagina of ovariectomized host mice in both non-/treated groups resumed at variable 10-12 days of transplantation. However, Melatonin treatment caused more cycles during the period of study (5.3±0.3 versus 4±0.3; p<0.001). The intervals between the manifestation of epithelial cells cornified (estrous cyclicity) within study in sham and non-/ treatment mice were 5.9±1.1, 5.8±1.6 and 4.2±1.7 days for a period of 1.9±0.2, 1.8±0.5 and 1.2±0.6 repetitive days, respectively (Fig. 1a, b).
Melatonin level: Administration of melatonin led to a substantial rise of the melatonin level to 1.0-1.2 μg mL-1 around midnight. But, a rapid decline through midday similar to the circadian rhythm of melatonin that found in untreated was still observed in treated group. Moreover, as soon as treatment ceased in treatment mice, the melatonin secretion at midnight returned again in melatonin measurements comparable with the physiologic concentration in untreated animals. However, after that melatonin secretion still tended to differ between days (p<0.05), but interactions of remedy with day (p<0.718) or treatment and estrous cyclicity with day (p<0.117) were not detected.

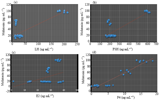
Fig. 1: (a-d) Correlation between melatonin concentration and LH and FSH levels in the estrous cyclicity of neonate ovarian graft, (a) There was a statistically significant (p>0.001; I = 0.810) correlation between melatonin and LH concentrations, (b) There was a statistically significant (p>0.001; I= 0.806) correlation between melatonin and FSH concentrations, (c) There was a statistically significant (p>0.009; I = 0.399) correlation between melatonin and E2 concentrations and (d) There was a statistically significant (p>0.001; I = 0.957) correlation between melatonin and P concentrations

Fig. 2: (a-d) Concentrations of plasma LH, FSH, estradiol and progesterone in all stages of the estrous cycle in no-/treatment host mice and Sham group. Mice were treated with 20 mg/kg/day melatonin. p>0.05
Profile of plasma sex hormone concentrations: An outline of the statistics gained is shown in Fig. 1a-d and 2a-d. Gonadothropins (LH and FSH) levels were higher in host ovariectomized mice before restoring of ovary graft cyclicity than in the sham mice (p<0.001 and p<0.001). However, melatonin administration reduced these levels into the gonadtrophins concentrations found in sham mice. Treatment within estrous phase is shown to reduce the circadian cycle of LH and FSH more in the treated than untreated group at midday (early proestrous) (p<0.001 and p<0.001); meanwhile, at afternoon (lately proestrous) a peak value more equivalent to that found in sham mice than control mice was again observed in treatment group. The correlation coefficients between gonadothropins (LH and FSH) and melatonin concentration at the estrous cycle were significantly different from zero (I = 0.810, p<0.001 and I = 0.806, p<0.001). Mean levels of estradiol and progesterone during the different stages of the cycle were similar between untreated and treated groups (p<0.979 and p<0.991), albeit in metestrous and distrous 2 the progesterone secretion was higher in treated group than non treated group (p<0.002 and p<0.003). The correlation coefficients between steroids (E2 and P4) and melatonin level at the estrous cycle were significantly different from zero (I = 0.399, p<0.009 and I = 0.957, p<0.001) (Fig. 2a-d).
DISCUSSION
Early, it was showed for the first time that administering melatonin during the initial ischemia of graft tended to promote the proportion of follicles entering the next development stage (Hemadi et al., 2009). Properly, the extent of follicular survival at different stages of development in ovarian grafts depends on their activity of hypothalamic-pituitary-ovarian axis (Liu et al., 2002). Indeed, in our earlier in vivo study, it was observed that distribution of brown of apoptosis stain in the granulosa and theca cells were more susceptible to harm than oocyte (Hemadi et al., 2009). This can be explained by the fact that the somatic cells are more active metabolically than the oocyte and thus are more affected by down regulation of gonadothropins hormone (Goodman, 1988). The results of the present study indicated that melatonin administration did not disturbance the stable rhythm of melatonin concentration of ovariectomized host mice. Meanwhile, it reduced the elevated gonadothropins level before restoring estrous cyclicity to level nearly similar to intact mice. Also, melatonin have caused that the characteristics of sex steroids in neonate ovaries host mice are modified as mechanism that take place during the estrous cycle of adult intact mice and may have improved synchronization. Cleaver reported that melatonin treatment within proestrous in mice had no effect on LH secretion, but it decreased estradiol and increased progesterone concentrations during the subsequent estrous and diestrous, respectively (Cleaver, 1992). Indeed, in vitro studies have demonstrated that melatonin stimulates progesterone production by ovarian granulosa cells in several mammalian species and acts synergistically with human chorionic gonadotrophin to increase the production of progesterone (Goldman, 1999; Brzezinski et al., 1992).
It seems that melatonin doesnt has effect directly on GnRH neurons to regulate secretion of GnRH (Cleaver, 1992; Goldman, 1999). Melatonin might regulate GnRH secretion via effect on steroid negative feedback on GnRH release or by a steroid-independent modulation of GnRH secretion (Nakamura et al., 2003). Recently revealed that kisspeptin is a factor that acts between melatonin and hypothalamic-pituitary-ovarian axis, in which that melatonin could act on the kisspeptin to modulate reproductive activity (Messager et al., 2005). Considering that kisspeptins potently elicits LH/FSH secretion (Revel et al., 2007) the activation of this endocrine pathway may have created a more suitable hormonal environment for follicle growth and hence oocyte maturation, in melatonin-treated does (Thompson et al., 2004). In anestrus, LH secretion is diminished, as opposed to the breeding season when the pulsatile release of LH is at frequencies and amplitudes appropriate for controlling follicle dynamics (Bulnes et al., 2004). Furthermore, the presence of an active growing follicle may indirectly support effects of melatonin on follicular function and therefore on steroid secretion and function, as suggested in previous studies (Yie et al., 1998).
In addition, in this study, it was detected that when we examined the estrous cycle by vaginal smear method, Cornified epithelial cells vagina of ovariectomized host mice in both non-/ treated groups resumed at same days of transplantation. However, administration of melatonin could be shorted the estrous cyclicity duration as well as the intervals between the manifestations of epithelial cells cornified interaction of estrous cyclicity. These differences in total length of the cycles were mainly caused by a more rapid growth phase of the dominant follicles. In this case, it was presumed that decreased FSH by melatonin induced follicle development in the ovary and subsequently elevated estrogen influenced the uterine tissue, resulting in shorted estrous (Berlinguer et al., 2009). It can be assumed that in fact the melatonin have caused that the characteristics of sex steroids in neonate ovaries host mice are modified as mechanism that take place during the estrous cycle of adult intact mice and may have improved synchronization. This result is consistent with other observations that reported that the melatonin has improved synchronization (Goodman, 1988; Cleaver, 1992). In conclusion, the evidence presented in this study illustrates that melatonin could return the disturbed sexual cyclicity of the ovariectomized host into reproductive function. Moreover, the evidence presented in this study illustrates that melatonin could be shorted duration of estrous period of the ovariectomized host.
ACKNOWLEDGMENT
This study is supported by a research grant (No:u-123) from the Jundishapur Ahvaz University of Medical Sciences and Health Service, Ahvaz, Iran.
REFERENCES
- Abecia, J.A., F. Forcada and O. Zuniga, 2002. The effect of melatonin on the secretion of progesterone in sheep and on the development of ovine embryos in vitro. Vet. Res. Commun., 26: 151-158.
PubMed - Adriaens, I., P. Jacquet, R. Cortvrindt, K. Janssen and J. Smitz, 2006. Melatonin has dose-dependent effects on folliculogenesis oocyte maturation capacity and steroidogenesis. Toxicology, 228: 333-343.
PubMed - Bellipanni, G., F. di Marzo, F. Blasi and A. di Marzo, 2005. Effects of melatonin in perimenopausal and menopausal women: our personal experience. Ann. N. Y. Acad. Sci., 1057: 393-402.
PubMed - Berlinguer, F., G.G. Leoni, S. Succu, A. Spezzigu and M. Madeddu et al., 2009. Exogenous melatonin positively influences follicular dynamics, oocyte developmental competence and blastocyst output in a goat model. J. Pineal Res., 46: 383-391.
PubMed - Brzezinski, A., T. Fibich, M. Cohen, J.G. Schenker and N. Laufer, 1992. Effects of melatonin on progesterone production by human granulosa lutein cells in culture. Fert. Ste., 58: 526-529.
PubMed - Brzezinski, A., M.M. Seibel, H.J. Lynch, M.H. Deng and R.J. Wurtman, 1987. Melatonin in human preovulatory follicular fluid. J. Clin. Endocrinol. Metab., 64: 865-867.
PubMed - Cagnacci, A., A.M. Paoletti, R. Soldani, M. Orru, E. Maschio and G.B. Melis, 1995. Melatonin enhances the luteinizing hormone and follicle-stimulating hormone responses to gonadotropin-releasing hormone in the follicular but not in the luteal, menstrual phase. J. Clin. Endocrinol. Metab., 80: 1095-1099.
PubMed - Cagnacci, A., J.A. Elliott and S.S. Yen, 1991. Amplification of pulsatile LH secretion by exogenous melatonin in women. J. Clin. Endocrinol. Metab., 73: 210-212.
PubMed - Cleaver, B.D., 1992. The role of the pineal gland and its secretory product melatonin on the secretion of gonadotropins in the Mare. M.Sc. Thesis, University of Florida.
- Lopez, B.D., E.D. Rodriguez, C. Urquijo and C.F. Alvarez, 2005. Melatonin influences on the neuroendocrine-reproductive axis. Ann. N. Y. Acad. Sci., 1057: 337-364.
PubMed - Diaz, E., D. Pazo, A.I. Esquifino and B. Diaz, 2000. Effects of ageing and exogenous melatonin on pituitary responsiveness to GnRH in rats. J. Reprod. Fert., 119: 151-156.
PubMed - Forcada, F., J.A. Abecia, A. Casao, J.A.C. Perez, T.M. Blanco and I. Palacin, 2007. Effects of ageing and exogenous melatonin on pituitary responsiveness to GnRH in ewes during anestrus and the reproductive season. Theriogenology, 67: 855-862.
PubMed - Forcada, F., L. Zarazaga and J.A. Abecia, 1995. Effect of exogenous melatonin and plane of nutrition after weaning on estrous activity, endocrine status and ovulation rate in Salz ewes lambing in the seasonal anestrus. Theriogenology, 43: 1179-1193.
PubMed - Goldman, B.D., 1999. The circadian timing system and reproduction in mammals. Steroids, 64: 679-685.
Direct Link - Bulnes, A.G., C.J. Souza, B.K. Campbell and D.T. Baird, 2004. Systemic and intraovarian effects of dominant follicles on ovine follicular growth. Anim. Reprod. Sci., 84: 107-119.
PubMed - Goodman, R.L., 1988. Neuroendocrine Control of the Ovine Estrous Cycle. In: The Physiology of Reproduction, Knobil, E. and J. Neil (Eds.). Raven Press, New York, pp: 1929-1968.
- Hemadi, M., F. Abolhassani, M. Akbari, A. Sobhani and P. Pasbakhsh et al., 2009. Melatonin promotes the cumulus-oocyte complexes quality of vitrified-thawed murine ovaries with increased mean number of follicles survival and ovary size following heterotopic. Eur. J. Pharmacol., 618: 84-90.
Direct Link - Kim, S.S., H.W. Yang, H.G. Kang, H.H. Lee, H.C. Lee, D.S. Ko and R.G. Gosden, 2004. Quantitative assessment of ischemic tissue damage in ovarian cortical tissue with or without antioxidant (ascorbic acid) treatment. Fert. Ster., 82: 679-685.
PubMed - Lee, C.J., B.R. Do, Y.H. Lee, J.H. Park and S.J. Kim et al., 2001. Ovarian expression of melatonin Mel(1a) receptor mRNA during mouse development. Mol. Reprod. Dev., 59: 126-132.
PubMed - Liu, L., G.A. Wood, L. Morikawa, R. Ayearst, C. Fleming and C. McKerlie, 2008. Restoration of fertility by orthotopic transplantation of frozen adult mouse ovaries. Hum. Reprod., 23: 122-128.
PubMed - Liu, J., J. van der Elst, R. van den Broecke and M. Dhont, 2002. Early massive follicle loss and apoptosis in heterotopically grafted newborn mouse ovaries. Hum. Reprod., 17: 605-611.
PubMed - Mazoochi, T., M. Salehnia, M.R. Valojerdi and S.J. Mowla, 2008. Morphologic ultrastructural and biochemical identification of apoptosis in vitrified-warmed mouse ovarian tissue. Fert. Ster., 90: 1480-1486.
PubMed - Messager, S., E.E. Chatzidaki, D. Ma, A.G. Hendrick and D. Zahn et al., 2005. Kisspeptin directly stimulates gonadotropin-releasing hormone release via G protein-coupled receptor 54. Proc. Natl. Acad. Sci. USA., 102: 1761-1766.
CrossRefPubMedDirect Link - Nakamura, Y., H. Tamura, H. Takayama and H. Kato, 2003. Increased endogenous level of melatonin in preovulatory human follicles does not directly influence progesterone production. Fert. Ster., 80: 1012-1016.
PubMed - Revel, F.G., L. Ansel, P. Klosen, M. Saboureau, P. Pevet, J.D. Mikkelsen and V. Simonneaux, 2007. Kisspeptin: A key link to seasonal breeding. Rev. Endocr. Metab. Disord., 8: 57-65.
PubMed - Ronnberg, L., A. Kauppila, J. Leppaluoto, H. Martikainen and O. Vakkuri, 1990. Circadian and seasonal variation in human preovulatory follicular fluid melatonin concentration. J. Clin. Endocrinol. Metab., 71: 492-496.
PubMedDirect Link - Soares Jr., J.M., M.I. Masana, C. Ersahin and M.L. Dubocovich, 2003. Functional melatonin receptors in rat ovaries at various stages of the estrous cycle. J. Pharmacol. Exp. Ther., 306: 694-702.
PubMed - Tan, D.X., L.C. Manchester, R. Hardeland, S.L. Burillo, J.C. Mayo, R.M. Sainz and R.J. Reiter, 2003. Melatonin: A hormone a tissue factor an autocoid a paracoid and an antioxidant vitamin. J. Pineal. Res., 34: 75-78.
PubMed - Thompson, E.L., M. Patterson, K.G. Murphy, K.L. Smith and W.S. Dhillo et al., 2004. Central and peripheral administration of kisspeptin-10 stimulates the hypothalamic-pituitary-gonadal axis. J. Neuroendocrinol., 16: 850-858.
PubMed - Turkoz, Y., O. Celik, S. Hascalik, Y. Cigremis, M. Hascalik, B. Mizrak and S. Yologlu, 2004. Melatonin reduces torsion-detorsion injury in rat ovary: Biochemical and histopathologic evaluation. J. Pineal. Res., 37: 137-141.
PubMed - Wang, H., S. Mooney, Y. Wen, B. Behr and M.L. Polan, 2002. Follicle development in grafted mouse ovaries after cryopreservation and subcutaneous transplantation. Am. J. Obstet. Gynecol., 187: 370-374.
PubMed - Wallace, J.M., J.J. Robinson, S. Wigzell and R.P. Aitken, 1988. Effects of melatonin on the peripheral concentrations of LH and progesterone after oestrus and on conception rate in ewes. J. Endocrinol., 119: 523-530.
PubMed - Yie, S.M., G.M. Brown, G.Y. Liu, J.A. Collins and S. Daya et al., 1998. Melatonin and steroids in human pre-ovulatory follicular fluid: Seasonal variations and granulosa cell steroid production. Hum. Reprod., 10: 50-55.
PubMed - Saalu, L.C., V.A. Togun, A.O. Oyewopo and Y. Raji, 2006. Artificial cryptorchidism and the moderating effect of melatonin (N-acetyl. 5 methoxy tryptamin) in sprague-dawley rats. J. Applied Sci., 6: 2889-2894.
CrossRefDirect Link
Other Health Sciences Concepts:
Discover the significance of concepts within the article: ‘Endocrine Function and Duration Time of Estrous Cyclicity of the...’. Further sources in the context of Health Sciences might help you critically compare this page with similair documents:
Ria, Physiological condition, Functional activity, Circadian rhythm, Female reproductive system, Oxidative damage, Follicle-stimulating hormone, Antioxidant, Correlation coefficient, Significant correlation, Dominant follicle, Vaginal Smear Method, Hypothalamic pituitary ovarian axis, Estrous cycle, Oogenesis, Hypothalamic-pituitary-gonadal axis, Oocyte Maturation, Folliculogenesis, Hormonal Assay, Estradiol, Melatonin, Reproductive Performance, Reverse Phase Chromatography, Intraperitoneal injection, In vitro cultured, Cardiac puncture, Pulsatile release, Standard curve, Blood sample, Vaginal smear, Reproductive function, Ovarian Function, Hormone assay, Hormonal environment, High lipophilicity, Physiological saline, Liquid nitrogen, Melatonin concentration, Circadian system, Endocrine function, Estrogen, Melatonin treatment, Synchronization, Kisspeptin, Metabolically active, Inverted microscope, GnRH Neurons, LH concentrations, Exogenous melatonin, Estradiol concentration, Down-regulation, ELISA reader, Progesterone production, Uterine tissue, Oocyte, Ovarian follicle, Follicle growth, Progesterone concentration, Somatic cell, Mature females, Sex steroid, Ovarian follicular fluid, Ischemic insult, Reproductive activity, Melatonin level, Uterine horn.
